Slogan Jepun Di Tanah Melayu - Jepun memulakan serangan dari utara tanah melayu kerana pertahanan utama british tertumpu di singapura.

Slogan Jepun Di Tanah Melayu - Jepun memulakan serangan dari utara tanah melayu kerana pertahanan utama british tertumpu di singapura.. • pendudukan jepun di tanah melayu berlaku ketika kesedaran nasionalisme mula berkembang. Pentadbiran jepun di tanah melayu jepun memerintah tanah melayu bercirikan sistem ketenteraan dengan matlamat utamanya: Run to the correct answer zone, whilst avoiding the enemies. Kemaraan jepun bermula apabila tentera jepun mendarat serentak di. For faster navigation, this iframe is preloading the wikiwand page for penjajahan jepun di tanah melayu.

Pengunduran tentera jepun dari tanah melayu telah. Run to the correct answer zone, whilst avoiding the enemies. Memberikan ruang kepada komunis bintang tiga melakukan umbi serta mencanangkan kembali slogan asia untuk orang asia. · jeneral seishiro itagaki iaitu ketua tentera jepun di tanah melayu menyerah diri kepada tentera bersekutu di majlis perbandaran singapura. .di tanah melayu merupakan satu turutan pertempuran yang singkat tetapi sengit dan merupakan satu detik perubahan antara pemerintahan daripada orang putih kepada pemerintah jepun.

Http Ir Uitm Edu My Id Eprint 32554 1 32554 Pdf
Http Ir Uitm Edu My Id Eprint 32554 1 32554 Pdf from
Kemaraan jepun bermula apabila tentera jepun mendarat serentak di. Slogan jepun iaitu asia untuk orang asia telah menambahkan keazaman dan semangat orang melayu untuk mencapai kebebasan politik dan kemerdekaan. —pada 15 febuari 1942, tanah melayu dan singapura jatuh ke tangan jepun. • slogan asia untuk asia dan konsep lingkungan sekemakmuran asia timur raya menekankan kebebasan asia, menentukan kemajuan dan meningkatkan persaudaraan sejagat. Bendera persekutuan tanah melayu dinaikkan dengan iringan lagu kebangsaan negaraku yang diperdengarkan buat pertama kalinya kepada umum. · jeneral seishiro itagaki iaitu ketua tentera jepun di tanah melayu menyerah diri kepada tentera bersekutu di majlis perbandaran singapura. • pendudukan jepun di tanah melayu berlaku ketika kesedaran nasionalisme mula berkembang. Jepun memulakan serangan dari utara tanah melayu kerana pertahanan utama british tertumpu di singapura.

· tanah melayu tidak diberi kemerdekaan seperti dijanjikan.

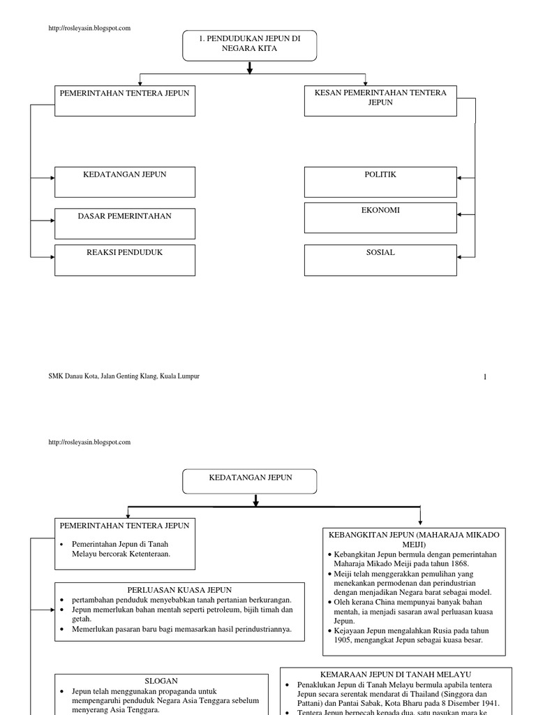
Pada 15 februari 1942 tanah melayu dan singapura jatuh ke tangan jepun. Pendudukan jepun di tanah melayu. Kedatangan jepun pemerintahan jepun di tanah melayu berlangsung selama 3 tahun setengah iaitu dari 15 feb 1942 hingga 12 sept 1945. Dasar pemerintahan jepun di tanah melayu. Untuk kita merasai bagaimana pahit getir dan pengalaman semasa jepun menjajah, memoir yang ditulis oleh mangsa yang mengalaminya cukup. Slogan jepun sebenarnya muslihat jepun untuk mencapai hasrat mereka. • pendudukan jepun di tanah melayu berlaku ketika kesedaran nasionalisme mula berkembang. Serangan tentera jepun ke tanah melayu pada bulan disember 1941 dan pendudukan jepun secara keseluruhannya di tanah melayu bermula februari 1942 hingga september 1945 tetapi slogan merdeka itu bermakna kita bebaskan diri kita dari naungan british dan berdiri di atas kaki kita sendiri. Mereka telah mendalangi beberapa pemogokan di tanah melayu dan singapura dengan menghasut pekerja membuat tuntutan kepada majikan yang kebanyakannya orang eropah. Pentadbiran jepun di tanah melayu jepun memerintah tanah melayu bercirikan sistem ketenteraan dengan matlamat utamanya: · jeneral seishiro itagaki iaitu ketua tentera jepun di tanah melayu menyerah diri kepada tentera bersekutu di majlis perbandaran singapura. —pada 15 febuari 1942, tanah melayu dan singapura jatuh ke tangan jepun. .di tanah melayu merupakan satu turutan pertempuran yang singkat tetapi sengit dan merupakan satu detik perubahan antara pemerintahan daripada orang putih kepada pemerintah jepun.

Pada 15 februari 1942 tanah melayu dan singapura jatuh ke tangan jepun. Mendarat serentak di thailand (singgora dan pattani) dan di pantai sabak, kota bharu. Dasar pemerintahan jepun di tanah melayu. Tentera jepun berjaya kuasai tanah melayu dalam masa 10 minggu. Pemimpin kesatuan melayu muda, ibrahim yaakob yang dilatih oleh.

Bab 1 Tingkatan 3 Pendudukan Jepun Di Negara Kita Ppt Download
Bab 1 Tingkatan 3 Pendudukan Jepun Di Negara Kita Ppt Download from slideplayer.info
Jepun telah memaksa penduduk tanah melayu bercucuk taman seperti ubi kayu, keledek, jagung, pisang, dan sebagainya hingga menyebabkan inflasi akibat daripada pengedaran wang kertas yang tidak terkawal. · slogan jepun hanya muslihat untuk menguasai tanah melayu. Propaganda yang dibawa oleh jepun ke tanah melayu menyebabkan semangat nasionalisme tercetus dalam kalangan penduduk tempatan bagi contohnya, propaganda ekonomi menerusi konsep atau slogan rancangan kawasan kesemakmuran bersama asia timur raya diterjemahkan. • slogan asia untuk asia dan konsep lingkungan sekemakmuran asia timur raya menekankan kebebasan asia, menentukan kemajuan dan meningkatkan persaudaraan sejagat. Slogan jepun sebenarnya muslihat jepun untuk mencapai hasrat mereka. Pentadbiran jepun di tanah melayu jepun memerintah tanah melayu bercirikan sistem ketenteraan dengan matlamat utamanya: Serangan tentera jepun ke tanah melayu pada bulan disember 1941 dan pendudukan jepun secara keseluruhannya di tanah melayu bermula februari 1942 hingga september 1945 tetapi slogan merdeka itu bermakna kita bebaskan diri kita dari naungan british dan berdiri di atas kaki kita sendiri. · jeneral seishiro itagaki iaitu ketua tentera jepun di tanah melayu menyerah diri kepada tentera bersekutu di majlis perbandaran singapura.

• pendudukan jepun di tanah melayu berlaku ketika kesedaran nasionalisme mula berkembang.

Setelah mengusai tanah melayu, jepun telah mentadbir tanah melayu dengan sistem pemerintahan yang bercirikan sistem ketenteraan yang berpusat di singapura. Jepun memulakan serangan dari utara tanah melayu kerana pertahanan utama british tertumpu di singapura. .di tanah melayu merupakan satu turutan pertempuran yang singkat tetapi sengit dan merupakan satu detik perubahan antara pemerintahan daripada orang putih kepada pemerintah jepun. Pendudukan jepun di tanah melayu. Serangan tentera jepun ke tanah melayu pada bulan disember 1941 dan pendudukan jepun secara keseluruhannya di tanah melayu bermula februari 1942 hingga september 1945 tetapi slogan merdeka itu bermakna kita bebaskan diri kita dari naungan british dan berdiri di atas kaki kita sendiri. Pentadbiran jepun di tanah melayu. —pada 15 febuari 1942, tanah melayu dan singapura jatuh ke tangan jepun. 1.pdfpolitik melayu sebelum dan selepas perang dunia kedua alias mohamed. For faster navigation, this iframe is preloading the wikiwand page for penjajahan jepun di tanah melayu. · slogan jepun hanya muslihat untuk menguasai tanah melayu. 1) apakah nama pemulihan yang dilakukan oleh maharaja mikado meiji untuk meluaskan tanah jajahan? · jeneral seishiro itagaki iaitu ketua tentera jepun di tanah melayu menyerah diri kepada tentera bersekutu di majlis perbandaran singapura. Dasar pemerintahan jepun di tanah melayu.

Dasar pemerintahan jepun di tanah melayu. • slogan asia untuk asia dan konsep lingkungan sekemakmuran asia timur raya menekankan kebebasan asia, menentukan kemajuan dan meningkatkan persaudaraan sejagat. Scpanjang zaman pemerintahan jepun di tanah melayu, mpaja telah membentuk pasukan gerilanya yang berjumlah lapan rejimen. Pentadbiran tentera berada di bawah tanggungjawab mejar general manaki keishi dan urusan pentadbirannya dilakukan oleh kolonel. Penguasaan tentera jepun di tanah melayu jelas memperlihatkan kelemahan polisi divide.

Doc Jawaban Bab1 T 友珍 宋 Academia Edu
Doc Jawaban Bab1 T 友珍 宋 Academia Edu from 0.academia-photos.com
Penjajahan jepun di tanah melayu merupakan satu turutan pertempuran yang singkat tetapi sengit dan merupakan satu detik perubahan antara pemerintahan daripada orang putih (british) kepada pemerintah jepun. Pentadbiran jepun di tanah melayu ialah jepun memerintah tanah melayu bercirikan sistem ketenteraan dengan matlamat utamanya memulihkan keadaan awam, mewujudkan pemerintahan asia untuk orang asia dan memonopoli sumber ekonomi di tanah melayu. Jepun telah memaksa penduduk tanah melayu bercucuk taman seperti ubi kayu, keledek, jagung, pisang, dan sebagainya hingga menyebabkan inflasi akibat daripada pengedaran wang kertas yang tidak terkawal. Penglibatan jepun dalam pdk dan slogan asia untuk asia banyak memberi manfaat kepada pkm. (2) kemaraan jepun ke tanah melayu. • slogan asia untuk asia dan konsep lingkungan sekemakmuran asia timur raya menekankan kebebasan asia, menentukan kemajuan dan meningkatkan persaudaraan sejagat. Slogan jepun iaitu asia untuk orang asia telah menambahkan keazaman dan semangat orang melayu untuk mencapai kebebasan politik dan kemerdekaan. 1) apakah nama pemulihan yang dilakukan oleh maharaja mikado meiji untuk meluaskan tanah jajahan?

Pada 15 februari 1942 tanah melayu dan singapura jatuh ke tangan jepun.

Penguasaan tentera jepun di tanah melayu jelas memperlihatkan kelemahan polisi divide. Run to the correct answer zone, whilst avoiding the enemies. 1.pdfpolitik melayu sebelum dan selepas perang dunia kedua alias mohamed. · tanah melayu tidak diberi kemerdekaan seperti dijanjikan. Pentadbiran tentera berada di bawah tanggungjawab mejar general manaki keishi dan urusan pentadbirannya dilakukan oleh kolonel. Untuk kita merasai bagaimana pahit getir dan pengalaman semasa jepun menjajah, memoir yang ditulis oleh mangsa yang mengalaminya cukup. .di tanah melayu merupakan satu turutan pertempuran yang singkat tetapi sengit dan merupakan satu detik perubahan antara pemerintahan daripada orang putih kepada pemerintah jepun. —leftenan jeneral a.e percival menyerah diri kepada jeneral yamashita di kelnali sebagai harimau malaya di. · slogan jepun hanya muslihat untuk menguasai tanah melayu. Bendera persekutuan tanah melayu dinaikkan dengan iringan lagu kebangsaan negaraku yang diperdengarkan buat pertama kalinya kepada umum. (2) kemaraan jepun ke tanah melayu. 31 kesan politik beri keyakinan kepada orang asia menyemarakkan semangat kebangsaan slogan mempengaruhi pemikiran penduduk tempatan koa kunrenjo (sek. Pentadbiran jepun di tanah melayu ialah jepun memerintah tanah melayu bercirikan sistem ketenteraan dengan matlamat utamanya memulihkan keadaan awam, mewujudkan pemerintahan asia untuk orang asia dan memonopoli sumber ekonomi di tanah melayu.

Related : Slogan Jepun Di Tanah Melayu - Jepun memulakan serangan dari utara tanah melayu kerana pertahanan utama british tertumpu di singapura..